EAU19中国之声|叶定伟教授团队:第8版AJCC肾癌分期的改进

作者:肿瘤瞭望   日期:2019/3/19 22:27:28  浏览量:25588

肿瘤瞭望版权所有,谢绝任何形式转载,侵犯版权者必予法律追究。

2019年第34届欧洲泌尿外科年会(EAU19)于当地时间3月15-19日在西班牙巴塞罗那胜利召开。叶定伟教授团队对“第8版AJCC肾癌分期的改进”入选壁报展示(poster No.117)。《肿瘤瞭望》持续关注泌尿生殖系肿瘤动态,一起传递中国之声。

 

 

 

 


肾癌约占所有成人恶性肿瘤的3-4%,是我国泌尿系统肿瘤第三大癌种。其中有将近一半的患者以转移性疾病起病或进展至全身转移。肾癌的精准治疗需要准确的分期作为后期治疗选择的依据。患者预后的精确预测对肾癌患者,尤其是高危患者的后续治疗有着至关重要的作用。

 

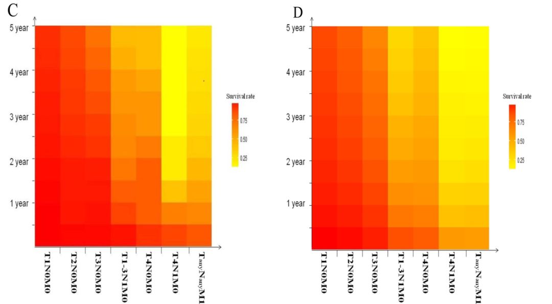
目前肾癌领域最常用的的分期就是第八版AJCC的stage分期系统,而它与第七版AJCC的stage分期系统相比并无变化。然而随着近10年的临床数据更新,我们重新评估该系统对肾癌患者预后预测的准确性。我们通过复旦大学附属肿瘤医院泌尿外科2120名肾癌患者近十年的临床随访数据,分析各stage亚组的预后情况。结果发现T3N0M0患者的5年生存率显著高于T1-3N1M0的患者(72.7% vs 38.1%)。而T4N0M0患者的5年生存率(36.2%)更接近与T1-3N1M0的患者,而不是T4N1M0 (0%)及TanyNanyM1 (12.6%)的患者。随后我们又在74 506患者(SEER cohort)中进行了验证,同样发现了类似的结果。这些结果表明现有的stage分期系统存在不合理的地方,预后有显著差异的亚组被分在了同一组中。

 

 

因此,我们根据这些亚组的整体预后情况(五年生存率,HR值)在不改变TNM定义的情况下,仅仅做出微小的调整,将T1-3N1M0和T4N0M0的患者分在一个stage III中,而T4N1M0继续和TanyNanyM1在一个stage IV中,T3N0M0患者是stage II,而T1N0M0和T2N0M0分别是stage Ia和Ib。经过微调整的stage分期系统,可以提供更加精确的预后预测,更好的区分了高危和低危的患者群体。仅仅一点改变就提高了AJCC的stage分期系统的预后预测能力(C-index:0.801 vs. 0.779 in FUSCC cohort,C-index:0.770 vs. 0.764 in SEER cohort)。经过调整后的stage系统将为下一版本的AJCC分期系统的改进提供了方向,同时也为患者的治疗选择提供了新的依据。

 

 

 

 

作者简介

邵宁


2017级复旦大学附属肿瘤医院泌尿外科博士生,师从国内著名泌尿肿瘤专家叶定伟教授。从事前列腺癌和肾癌的临床诊治工作及其转化研究。近年来,以第一作者及并列第一作者在Asian Journal of Andrology,Cancer Medicine,International Journal of Caner等国际著名期刊和国内权威期刊上发表科学论文17篇。在EAU年会、SIU年会等国内外大型学术会议上交流发言。

 

 

 

本内容仅供医学专业人士参考


叶定伟

分享到: 更多

相关幻灯