黄昌明教授团队IGCC展示多项研究成果,可视化网页版预测模型可个体化精准预测残胃癌患者的预后

作者:肿瘤瞭望   日期:2019/5/14 17:25:44  浏览量:25434

肿瘤瞭望版权所有,谢绝任何形式转载,侵犯版权者必予法律追究。

第13届世界胃癌大会( International Gastric Cancer Conference,IGCC),于2019年5月8~11日在捷克布拉格召开,

第13届世界胃癌大会( International Gastric Cancer Conference,IGCC),于2019年5月8~11日在捷克布拉格召开,本次会议主旨为“Buiding bridges”,旨在呼吁全球胃癌届同道加强交流与合作,携手为了实现我们共同的目标“消除胃癌在全球的危险”而努力。本次大会吸引了来自全球1500多名学者前来参会。本次大会上,来自福建医科大学附属协和医院黄昌明教授团队的陈起跃博士在胃癌根治术后患者预后研究方面进行了系列口头及壁报展示,现概括如下:
 
陈起跃博士在ICGG报告研究成果
 
1. 建立并外部验证网页版的残胃癌患者预后预测模型:一项基于多中心数据的研究
 
背景:残胃癌是一种罕见且预后较差的肿瘤,目前尚无公认的残胃癌预后预测模型见报道。

方法:回顾性分析来自6个中心253例行根治残胃切除术残胃癌患者的临床病理资料。评估第七版AJCC TNM胃癌、第八版AJCC TNM胃癌和TRM分期系统对于残胃癌患者的预后预测性能。通过Cox回归建立一个基于独立预后因素的网页版预测模型,并比较该预测模型与各个分期系统的优劣。
 
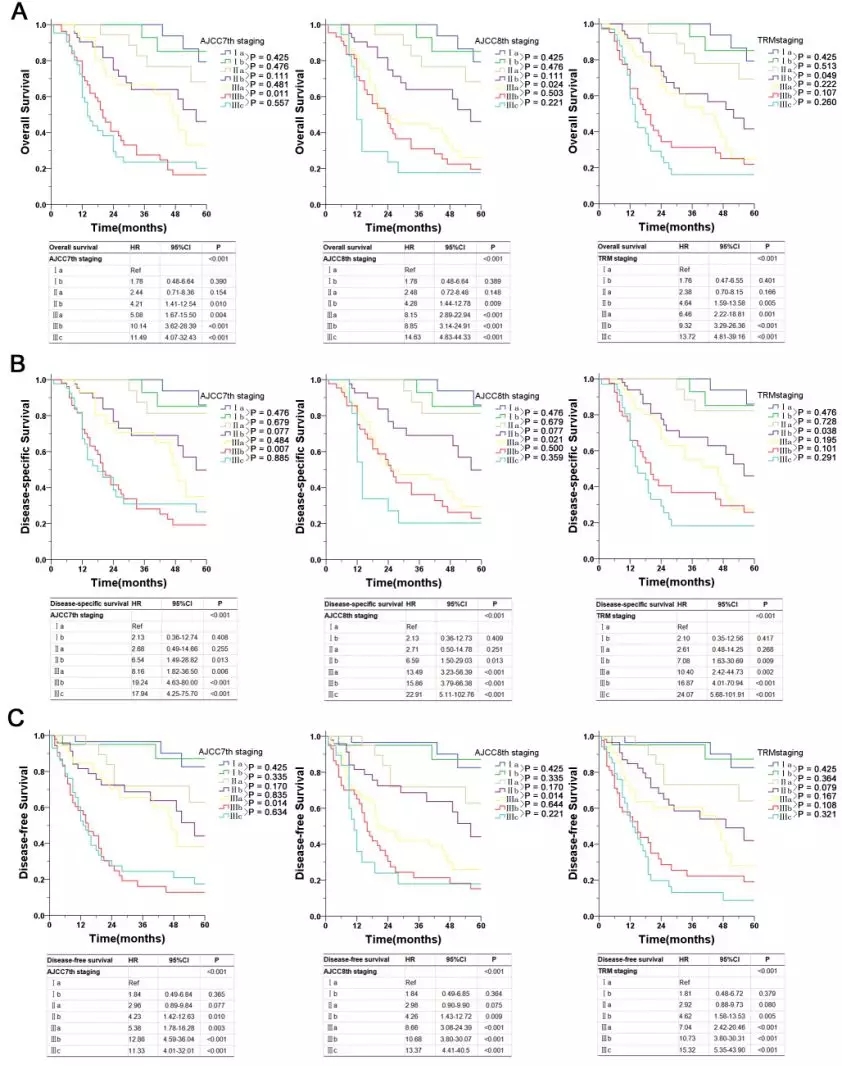
结果:全组患者5年OS为48.39%,第八版AJCC分期和TRM分期相较于第七版AJCC分期其预后预测能力并无提高(c-index: AJCC7th vs. AJCC8th vs. TRM, 0.743 vs. 0.732 vs. 0.744; P>0.05)。无论在总体生存、疾病特异生存,还是无复发生存,在三个分期系统内部,相邻分期之间的生存并没有良好的区分开来(P>0.05)(图1)。对潜在混杂因素调整后的多因素Cox分析显示年龄、肿瘤大小、T分期、N分期是影响OS、DSS、DFS的独立预后因素。基于以上变量,我们分别建立了3个网页版预测模型Huang OS model、Huang DSS model和Huang DFS model,其在预后区分度(C-index)、预测同质性(likelihood ratio chi-square)、预测准确性(AIC,BIC)、模型稳定性(Time-dependent ROC curves)等方面都优于第七版AJCC分期。分层分析显示无论检出淋巴结数大于15枚,亦或是小于等于15枚,网页版预测模型的预测性能仍高于其他三个分期系统(图2)。决策曲线分析显示Huang model相较于其他三个分期系统可取得更好的净获益。
 
结论:对于残胃癌患者,无论第七版AJCC分期系统、第八版AJCC TNM分期系统亦或是TRM分期系统都没有能良好地区分患者的生存。我们建立了一个优于分期系统的可视化网页版预测模型,不论淋巴结检出数如何,该模型均可个体化精准地预测残胃癌患者的预后。
 
图1. 各个分期系统对于残胃癌患者生存的区分情况
 
图2. 残胃癌患者术后总体生存的网页版预测模型
 
2. 3D腹腔镜保脾脾门淋巴结清扫手术是否优于2D:一项来自前瞻性临床试验数据的分析
 
背景:3D手术系统能够为术者提供2D手术系统所不具有的空间景深信息。
 
目的:探讨3D与2D腹腔镜手术对胃癌患者保脾脾门淋巴结清扫术的短期疗效和术中技术性失误的差异。
 
方法:分析2015年1月至2016年4月福建医科大学协和医院胃外科开展的一项临床试验(NCT02327481)中156例随机接受3D或2D腹腔镜保脾脾门淋巴结清扫术患者的临床资料,对比两组间短期疗效,并使用失误率工具对未经编辑的保脾脾门淋巴结清扫术的80例(3D和2D组各40例)手术视频进行评估。
 
结果:所有入组患者均顺利完成手术,无中转开腹。156例脾门清扫患者中,3D组的术中出血量(3D vs. 2D = 66.3±79.3 vs. 99.0±119.7,P=0.046)更少、而在手术时间、脾门清扫时间、脾上极区域清扫时间、脾动脉干区域清扫时间、脾下极区域清扫时间、脾门出血量、No.10淋巴结清扫数目以及总淋巴结清扫数量较2D组差异无统计学意义(P均>0.05),且两组患者术后恢复情况及并发症发生率上均相当(P均>0.05),均无30天内死亡患者。两位专家审阅80例随机抽取的脾门清扫手术视频,抓取类失误在清扫脾下极区域(3D vs. 2D = 3.2±1.2 vs. 4.3±2.6次,P=0.016)和脾上极区域时(3D vs. 2D = 2.7±0.9 vs. 3.3±1.1次,P=0.022)的组内相关系数(ICC)分别为0.92和0.83,80例手术视频中失误总数和事件总数其ICC分别为0.82和0.86。3D组平均失误数(3D vs. 2D = 20.7±4.2 vs. 23.4±6.3次,P=0.027)比2D组显著更少(图3)。
 
结论:与2D腹腔镜保脾脾门淋巴结清扫手术相比,3D技术可以减少术中出血和减少脾门清扫时所犯的技术性失误。
 
图3. 使用GERT工具对黄氏三步法各步骤评估
 
3. 胃上部癌患者术后总体生存nomogram的预测模型:一项大宗的单中心回顾性研究
 
目的:建立胃上部癌患者术后总体生存nomogram的预测模型。
 
背景:目前胃上部癌的发病率越来越高,而针对胃上部癌患者术后预后nomogram的预测模型尚未见报道。
 
方法:前瞻性收集回顾性分析2007年1月至2013年6月我科行根治性手术的746例胃上部癌患者术后的临床病理资料,并将患者随机分为75%的建模组和25%的验证组,采用多因素COX比例风险回归模型确定总体生存(OS)的术前、术后危险因素,并据此建立和验证其术前及术后的OS nomogram预测模型。
 
结果:全组患者3年、5年的总体生存率分别为:66.1%,58.4%。建模组患者危险因素预后COX分析显示,术前T分期(cT)、术前N分期(cN)、ASA评分、术前CA199、术前肿瘤大小与3~6个月内体重减轻是胃上部癌术后患者OS的术前独立预后因素,脉管神经侵犯、术后肿瘤大小、术后T分期、术后N分期、术后输血、总体并发症是胃上部癌术后患者OS的术后独立预后因素。nomogram预测模型术前及术后C-指数分别为:0.751[95%CI:0.732~0.770]和0.758(95%CI:0.739~0.777)。术前及术后nomogram预测模型均可依据其分值将患者分为4个不同的预后等级,各组OS差异均具有统计学意义(P<0.001)。建模组、验证组术前及术后总体生存的校正曲线均显示nomogram预测模型的判别能力与实际生存相似(图4,图5)。

结论:我们建立的术前及术后的nomogram预测模型均可准确预测胃上部癌患者术后的总体生存。
 
图4. 术前列线图预测胃上部癌患者的总体生存情况(C指数=0.751).
 
图5. 术前列线图四分位数截止值的生存曲线。
 
4. 胃癌根治术后化疗延误影响II/III期患者预后:我们是否能做得更好?
 
目的:探讨II/III期胃癌术后化疗延误对预后影响及其危险因素,为政府、临床医生等相关部门的介入提供参考。
 
方法:前瞻性收集回顾性分析2011年1月至2015年4月期间1520例施行胃癌根治术并且术后病理证实为II/III的胃癌患者临床病理资料,根据总体生存时间与首次接受化疗时间关系,我们定义化疗延误组为行胃癌根治术至首次接受化疗时间大于60天,或未行化疗者(UAC组)。化疗无延误组定义为至首次接受化疗时间小于等于60天(AC组)者。对比两组患者生存情况,化疗延误患者近年趋势及危险因素变化。
 
结果:全体患者,共有539个患者出现化疗延误,发生率为35.5%。分析近年化疗延误趋势,2012年化疗延误状况较2011年显著改善(P<0.001),而2012~2015年4月期间化疗延误状况并无明显改善(P=0.880),甚至从2014年的29.1%提升至2015年的30.7%(图6)。UAC组患者的OS和DFS明显劣于AC组患者(P均<0.001)。而在UAC组患者中化疗时间超过60天和无化疗患者其OS和DFS相接近(P均>0.05)(图7)。总体生存Cox单多因素分析显示,化疗延误为总体患者OS不良的独立危险因素。Logistic单多因素分析的显示,女性、老龄、自费、极低的社会地位、高ASA评分、腹腔内手术史和术后严重并发症即Clavien-DindoIII-IV的患者为化疗延误的独立危险因素。雷达图显示,自费患者比例呈现逐年下降的趋势,而极低的社会地位患者比例自2011~2014年间逐渐减少(0%~3.2%),但在2015年其所占比例再次升高(4.5%)。2011年至2015年4月期间女性患者、老龄、腹腔内手术史、高ASA患者等化疗延误高危患者比例未见明显变化(P均>0.05),而术后严重并发症即Clavien-DindoIII-IV的患者比例亦未见明显改善(P=0.549)。
 
结论:胃癌根治术后化疗延误是Ⅱ/Ⅲ期患者预后不良的独立危险因素。然而近年来,化疗延误并没有显著下降,政府部门及临床医生应重视高危延误患者,并采取相应措施以期提高总体患者的预后。
 
图6. 2011年~2015年4月期间病理分期Ⅱ/Ⅲ期胃癌患者化疗延误的趋势
 
图7. 化疗组(AC)和化疗延误组(UAC)患者的生存情况。A:AC组与UAC组的OS;B:AC组、延迟化疗组(时间大于60天)和无化疗组之间OS。 C:AC组与UAC组的DFS。 D:AC组、延迟化疗组(时间大于60天)和无化疗组之间DFS
 
5. 淋巴结清扫不符合是否影响胃癌根治术患者的肿瘤疗效:一项单中心回顾性研究
 
目的:本文旨在研究淋巴结清扫不符合对胃癌根治术术后患者的肿瘤学疗效影响并探讨其干预措施。
 
方法:前瞻性收集回顾性分析2007年6月至2014年12月期间2401例接受D2淋巴结清扫的胃癌根治术患者临床病理资料,其中全胃切除患者1343例,远侧胃切除患者1058例。淋巴结清扫不符合定义:根据日本胃癌协会(JRSGC)规约划定的各组淋巴结中,如果有超过1组以上的淋巴结未被清扫,即认为淋巴结清扫不符合。分析患者淋巴结清扫不符合及其对术后肿瘤学疗效,包括各站淋巴结转移数、清扫数以及总体生存的差异。
 
结果:总体淋巴结清扫不符合率为49.1%,全胃和远侧胃切除分别为61.7%和33.2%。全胃切除患者中,最易被忽视清扫的淋巴结为No.10,其次为No.5;远侧胃切除患者中,最易被忽视清扫的淋巴结为No.11,其次为No.12a。分析患者总体生存状况,淋巴结符合患者生存显著优于不符合患者。单多因素分析显示,淋巴结清扫不符合为患者总体生存的独立危险因素。Logistic回归分析显示,手术切除方式、肿瘤原发部位以及既往腹腔手术史均为术前预测淋巴结清扫不符合的独立因素。对淋巴结清扫不符合患者行单多因素分析显示,年龄,pT,pN,手术切除方式均可独立影响患者预后。无论对推荐接受化疗还是推荐不接受化疗患者,淋巴结清扫符合患者的生存均显著优于清扫不符合患者(图8)。分层分析显示,对于不推荐化疗的Ⅱ期(pT1N2/N3M0及pT3N0M0)不符合患者行化疗其生存显著优于没有行化疗患者。
 
结论:淋巴结不符合是胃癌根治术后预后不良的独立因素。对于淋巴结不符合的pT1N2/N3M0及pT3N0M0的患者,术后接受辅助化疗可改善其预后。
 
图8. 根据是否推荐化疗将患者分层,对比淋巴结清扫符合和不符合患者之间的生存情况。(A)不推荐辅助化疗的患者;(B)推荐辅助化疗的患者。
 
团队介绍

福建医科大学附属协和医院胃外科
 
 
福建医科大学附属协和医院胃外科是我国综合性医院中第一个治疗“胃肿瘤”的专业病区,是“胃肿瘤”专业临床、科研和教学的主要基地。团队技术力量雄厚,学术梯队健全,拥有主任医师3名,副主任医师1名,主治医师5名;教授1名、副教授3名;博士生导师1名、硕士生导师3名。
 
团队带头人黄昌明教授是享受国务院政府特殊津贴专家、福建省科技创新领军人才,现任中国抗癌协会胃癌专业委员会常委、中国医师协会肿瘤外科医师委员会副主任委员、中国医疗保健国际交流促进会减重代谢外科分会副主任委员、海峡两岸医药卫生交流协会消化道外科专业委员会副主任委员等。
 
科室坚持“严谨、求精、勤奋、奉献”协和精神,建立起胃癌现代外科治疗新理念,总结出一套合理高效的胃癌综合治疗方案,以提高胃癌患者长期生存率。“腹腔镜胃癌D2根治术”为胃外科的特色诊疗项目,至今完成了5000多例腹腔镜胃癌手术,手术完成例数居国内首位。科室特别重视对手术技术的不断创新,在国际上首次报道腹腔镜胃癌脾门淋巴结清扫“黄氏三步法”,不仅简化了手术步骤,而且提高了手术安全性;科室还在国内率先开展“全腹腔镜远端胃癌根治术后改良三角吻合术”,改善了患者术后生活质量。科室对胃肠道间质瘤的治疗也取得了许多成果,在规范化治疗胃肠道间质瘤的例数和疗效等方面均处于国内领先水平。同时,科室是福建省第一个开展 “微创减重代谢手术”治疗病态肥胖和严重糖尿病的专业病区,疗效显著,极大地改善了肥胖和糖尿病患者的生活质量,手术技巧和术后饮食营养等相关指导深受患者信赖,手术数量和质量稳居全省之首。
 
科室先后主办“全国胃癌外科规范化治疗高峰论坛”、“全国腹腔镜胃癌淋巴结清扫高级培训班”等大中型会议70余次,培训了大批国内胃外科同道,有力的推动了我国胃癌外科的发展。科室多次受邀在北京、上海、广州等地国内顶级医院进行手术演示,传授腹腔镜胃癌手术技术;每年到全国各地医院会诊手术100余台。近5年来,科室已在国内外医学期刊中公开发表论文200多篇,其中SCI 130余篇;出版英文专著1部,中文专著2部;共获得福建省科技进步一、二、三等奖5项,福建医学科技一、二、三等奖共5项。
 
作者介绍
 
陈起跃主治医师
 
主治医师,主要从事胃肿瘤的规范化治疗、微创治疗及综合治疗,尤其以“腹腔镜胃癌D2根治术”为特色诊疗项目。此外,还开展肥胖症和代谢疾病的微创外科治疗。
 
曾于日本大分大学附属医院进修胃癌微创治疗。第一作者在Oncologist、Gastric cancer、Annal of surgical oncology等SCI杂志发表文章20余篇,作为副主编编著《超高清腹腔镜胃癌手术图谱》及Laparoscopic Gastrectomy for Gastric Cancer: Surgical Technique and Lymphadenectomy,参编专著《腹腔镜胃癌根治术淋巴结清扫技巧(第2版)》、《腹腔镜胃癌根治术淋巴结清扫技巧》。目前主持福建省卫计委青年科研课题1项,参与全国多中心前瞻性临床实验、国家自然基金项目、中国临床肿瘤学科学基金项目和省自然基金项目等多项研究。多次荣获福建省科学技术进步奖和福建医学科技奖。
 

本内容仅供医学专业人士参考


IGCC 2019

分享到: 更多

相关幻灯