[ASH2017]骨髓增殖性肿瘤领域进展显著,芦可替尼闪耀ASH年会

作者:肿瘤瞭望   日期:2017/12/27 13:32:54  浏览量:37671

肿瘤瞭望版权所有,谢绝任何形式转载,侵犯版权者必予法律追究。

编者按:骨髓增殖性肿瘤(MPN)是以骨髓一系或多系髓系细胞持续增生为特征的克隆性造血干细胞疾病。MPN包括多种分型,如真性红细胞增多症(PV)、原发性血小板增多症(ET)、原发性骨髓纤维化(PMF)以及慢性粒细胞白血病(CML)等。芦可替尼(Ruxolitinib)是一种JAK1/2抑制剂,在骨髓增殖性肿瘤(MPN)的治疗中发挥着极为关键的作用。并且随着临床试验的不断开展,芦可替尼在MPN中的研究进展不断深入,取得了令人非常惊喜的成果。2017年12月12日,历时3天的第59届美国血液学年会(ASH)在亚特兰大圆满结束,MPN及芦可替尼相关的临床及基础研究频繁亮相本次ASH会议,其研究结果也令人惊喜和期待。现将其整理成文,以供读者参考。

《摘要4204》:JUMP研究显示芦可替尼在骨髓纤维化治疗中疗效显著
 
JUMP研究是一项大型国际多中心、IIIb期扩大临床试验,共纳入2233例骨髓纤维化(MF)患者,其中原发性骨髓纤维化(PMF)占59.4%。该研究旨在明确临床实践中芦可替尼在MF患者中的疗效及安全性。
 
该研究结果显示: 1. 在研究的第24周及48周,芦可替尼使MF患者的脾脏长度缩小≥50%的比例分别达56.5%和61.4%。此外,使患者脾脏长度缩小25%-50%的比例分别为23.3%(24周)以及18.9%(48周)。2. 在研究中的某个时间点,芦可替尼可使70.7%MF患者的脾脏长度缩小≥50%(见图1)。
 
图1:芦可替尼对于MF患者的缩脾效果显著
 
JUMP研究以大数据的结果证实了芦可替尼在骨髓纤维化(MF)患者中具有良好的疗效,其缩脾效果极为显著。
 
《摘要1379》:对于由MPN或MDS转化来的AML患者而言,地西他滨基础上加用芦可替尼疗效可获提升
 
该研究为I/II期临床试验,共纳入19例继发性AML患者,均由MPN或MDS转化而来。其中I期纳入14例,II期纳入5例。采用地西他滨+芦可替尼联合治疗。旨在观察此联合方案的短期疗效及生存情况。
 
本研究采用地西他滨联合芦可替尼治疗继发性AML,结果显示:该方案使MPN或MDS转化的AML患者中位生存时间达8月,完全缓解率(CR)+血常规未完全达标的完全缓解(CRi)=29%。这一结果对于预后不佳的继发性AML患者而言,可谓不错的疗效。
 
该研究显示,对于由MPN或MDS转化而来的AML患者而言,在地西他滨基础上加用芦可替尼可提升疗效。
 
《摘要1983》:芦可替尼治疗移植物抗宿主病(包括急性和慢性)疗效显著
 
移植物抗宿主病(GVHD)是骨髓移植后极为困扰及挑战性的问题,严重影响患者生存时间及其生活质量,尤其激素耐药的GVHD,目前没有很好的治疗方法,而激素治疗的弊端又非常多。因此,如何很好地治疗GVHD成为血液医生所关注的重要问题之一。
 
该研究共纳入急性GVHD(aGVHD)患者22例,慢性GVHD(cGVHD)患者57例。采用芦可替尼(平均剂量20 mg/day)进行治疗。结果显示:1. 芦可替尼治疗GVHD的起效非常迅速,通常2周起效。2. 对于aGVHD患者而言,芦可替尼治疗的总反应率(ORR)达68.2%,其中完全缓解率(CR)达18.2%,1年的OS率为43%。3. 对于cGVHD患者而言,芦可替尼治疗的ORR达57.9%,其中完全缓解率(CR)达5.3%,1年的OS率为81%。总体上,芦可替尼在真实世界的GVHD治疗中显示出了有效性和安全性。
 
该研究表明,对于急慢性GVHD患者而言,芦可替尼治疗可获得良好的疗效。
 
《摘要162》:芦可替尼在慢粒单(CMML)患者中显示出良好的治疗前景
 
摘要162对应的研究是一项I/II期临床试验,共纳入49例慢粒单(CMML)患者,采用芦可替尼单药进行治疗。I期试验主要目的为确定芦可替尼安全剂量,其结果示:芦可替尼20mg Bid安全性良好。II期试验旨在明确芦可替尼对CMML患者的疗效。
 
II期试验结果显示:1. 把治疗开端作为起始点,采用芦可替尼治疗的CMML患者中位生存时间(mOS)达29月,其中CMML-MDS患者为28月,CMML-MPN患者为32月。 2. 将本研究的49例CMML患者与既往1800例CMML患者进行比较,结果发现:将确诊时间作为起始点,本研究中CMML患者的中位生存时间(mOS)为69月,而既往1800例CMML患者的mOS仅为31月(P=0.03),可见芦可替尼治疗可显著改善CMML患者的生存。
 
结论:芦可替尼单药治疗可明显改善CMML患者的生存情况,提示芦可替尼在CMML治疗中具有良好治疗前景。
 
《摘要1642》:在采用芦可替尼治疗的骨髓纤维化患者当中,年龄并不是其预测及限制因素,高龄患者依然可以从芦可替尼治疗中获益
 
该研究是一项多中心、回顾性研究,共纳入277例老年骨髓纤维化(MF)患者,均在65岁以后采用芦可替尼治疗。研究显示:1. 对于老年(≥65岁)MF患者而言,其治疗6个月的脾脏反应率(SR)以及症状反应率(SyR)分别为35.9%和87.9%。2. 老龄和体重指数(BMI)≤21与MF患者是总体生存(OS)的不良预后因素(P=0.02)。3. 老年MF患者的基因突变情况相对复杂,但其与芦可替尼治疗反应率无明显相关。
 
结论:对于老年MF患者而言,芦可替尼治疗的症状反应率(SyR)及脾脏反应率(SR)与年龄无明显相关,因此老龄不应该成为限制芦可替尼治疗的因素。
 
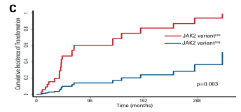
《摘要305》:JAK2变体(非JAK2V617F突变)与MPN转变至AML密切相关
 
该研究为一项大型回顾性分析,共纳入3376例MPN或AML患者(其中部分AML由MPN转变而来)。其中2254例患者进行了JAK2基因的二代测序。旨在分析JAK2变体(非JAK2V617F突变)与MPN转变(进展)至AML是否存在相关性。
 
在2254例患者中,共有114例出现了JAK2变体(非JAK2V617F突变),另有417例出现了JAK2V617F突变。然后分析JAK2变体在MPN患者组、AML患者组、由MPN转变至AML患者组中的分布情况。结果发现:1. MPN组共608例患者,有28例患者为JAK2突变体阳性,占4.6%(28/608)。2. AML组共有1487例患者,其中77例为JAK2变体阳性,占5.3%(77/1487)。3. 在MPN转变至AML组共59例,共有9例为JAK2变体阳性,占5.3%(9/59)。
 
结论:本研究显示,在MPN转变至AML患者组中,JAK2变体发生率明显高于MPN或AML组(详见图2)。JAK2变体的发生与MPN转变至AML存在明确的相关性。
 
图2:MPN转变至AML组的JAK2变体发生率明显高于MPN组和AML组
 
《摘要1663》:ERBB2基因突变与MPN的发病相关
 
该研究通过搜集MPN或MDS患者唾液及外周血标本,然后采用全外显子测序的方法进行ERBB基因突变情况的检测。
 
研究结果显示:ERBB2和ERBB3基因突变均可出现于MPN或MDS患者中。而ERBB2基因突变率在MPN患者中为5%,明显高于一般髓系恶性血液病的1.8%;而ERBB3基因突变率在MPN患者中为1.6%,这与一般髓系恶性血液病的1.8%无明显差异。
 
ERBB2基因突变与MPN发病可能存在一定的相关性。
 
总结
 
本次ASH会议上,骨髓增殖性肿瘤(MPN)进展较为显著,JAK1/2抑制剂芦可替尼也频繁亮相。 总结其研究结果发现:1. 临床研究方面,芦可替尼在治疗骨髓增殖性肿瘤(MPN)、慢粒单(CMML)、GVHD、MPN或MDS转化的AML等方面前景非常光明,并且老龄不应成为芦可替尼治疗骨髓纤维化(MF)的限制因素。 2. MPN基础研究方面,JAK2变体(非JAK2V617F突变)与MPN转变至AML存在显著正相关性;而ERBB2基因突变可能与MPN发病存在关联。

 

 

 

 

本内容仅供医学专业人士参考


血液ASH2017

分享到: 更多

相关幻灯